In mathematics, a recurrence relation is an equation that expresses the
n -th term of a sequence as a function of the k preceding terms.
sort(array A, int begin, int end):
if(begin = end)
return;
sort(A, begin , (begin + end)/2)
sort(A, ((begin + end)/2)+1, end)
pivot = (begin + end)/2
Merge(A,begin, pivot, end)
we can represent this algorithm as a recurrence relation in the following way:
this formula is the representation of #merge sort. how ever it should be mention that as learned in Asymptotic notations we can ignore any constant or round value, so lets rewrite the formula as the following:
lets look at the following relation :
we can calculate

this will continue until
so, lets explain whats going on:
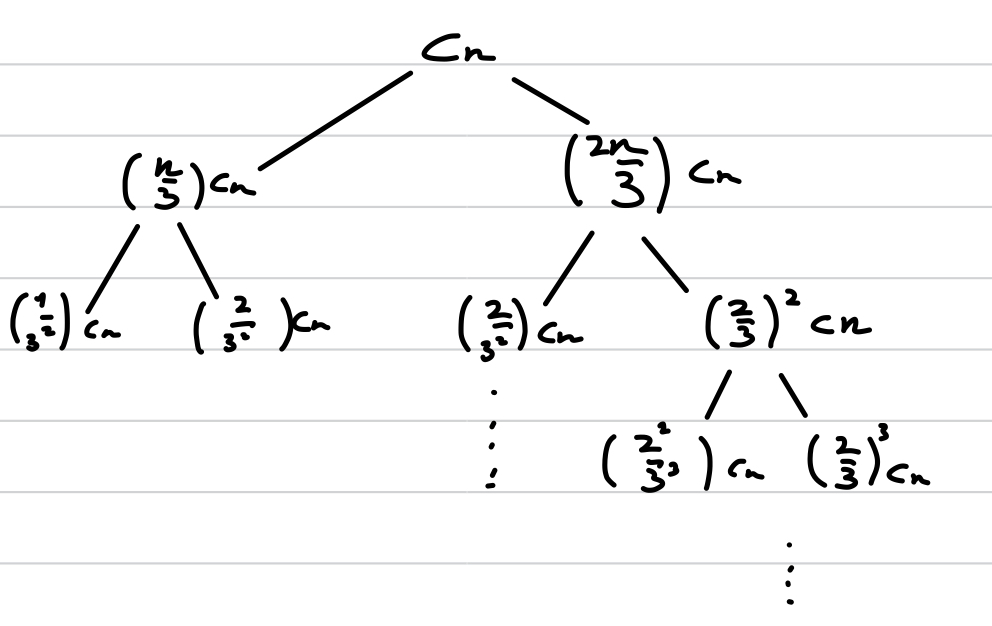
lets look at the next relation:
where
this time the tree is not even as the tree we saw before and it will look something like this:

each level is performing
as before the tree will end at
let's ask our self : so what if the tree is not equal? what will happen? the answer is the following. in the #Recursion tree from before, each branch performed
but that only worked because they were equal. in this case at some point the left branch will finish its work and the right one will continue his.
that means that at some branch
so how to calculate
we will divide the tree to 2 parts: the parts where
the tree will look something like this:

now we going to calculate the maximum height of the tree in the first part and the maximum height in the second part.
the first part will be the best case scenario of our function and therefore will be
the second part will be the worst case scenario of our function and therefore will be
the equal tree height will be
so as we said the first part time complexity will be
lets check the following example:
where
the tree will look something like this:

lets see whats going on :
because the work inside the recursion is divisive each branch will do less work until
so we need to understand 2 things : the first one is the height of the tree so let's build a formula assuming
the formula will be as the following :
at each branch
each branch will do the sum of that that will calculate to:
if we sum all the floors we will get :
this is a Geometric progression where
the best case scenario is
because the sum is the worst case scenario and the first work in the best and they are both of
in this method we will "open" the formula to get an idea if what will happen at the end. (we need to now the value of
lets open the formula:
lets see how its sums up in
if we try to build it until the end we will get :
notice that
how ever, this is not a valid proof and we need to proof it with # Inductive reasoning
continue develop the expression and we will get the above result.
because we know that
now assume
we will guess what is the big
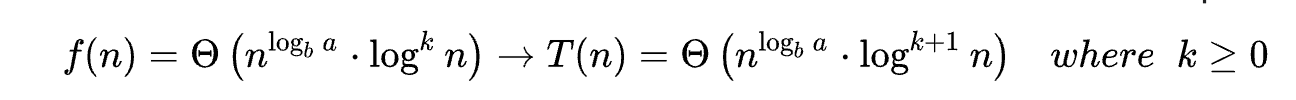
the master theorem help us solve a specific type of Recurrence relation but is the fastest way from all the above.
for formulas that look like the following:
where
the base for the master theorem is simple find out who from the root or the recursion part does more work.
we can achieve this with the following rules:
this is the case where the recursive part works harder than the root
this is the case when both the recursive part and the root does the same work
there is an extended case for that one :

this case is when the root does more work than the recursive part.
therefore:
therefore:
lets look at the following relation:
this can be a hard expression to develop using the methods above..
we should try make it easier by switching variables:
mark
this is a recurrence relation we already know
therefore: